<!DOCTYPE html>

<html lang="">
<head>
<title>Congrès SFLS 2025</title>
<meta charset="utf-8">
<meta name="viewport" content="width=device-width, initial-scale=1.0, maximum-scale=1.0, user-scalable=no">
<link href="https://fonts.googleapis.com/css?family=Montserrat" rel="stylesheet">
<link rel="stylesheet" href="/flexslider/flexslider.css" type="text/css">
  <style>
    .flexslider {
      margin-bottom: 10px;
    }
    .flexsliderI {
      margin-bottom: 10px;
    }

    .flex-control-nav {
      position: relative;
      bottom: auto;
    }

    .custom-navigation, .custom-navigationI {
      display: table;
      width: 100%;
      table-layout: fixed;
    }

    .custom-navigation > * {
      display: table-cell;
    }

    .custom-navigation > a {
      width: 50px;
    }

    .custom-navigation .flex-next {
      text-align: right;
    }

    .custom-navigationI > * {
      display: table-cell;
    }

    .custom-navigationI > a {
      width: 50px;
    }

    .custom-navigationI .flex-next {
      text-align: right;
    }
  </style>
<link href="layout/styles/layout.css" rel="stylesheet" type="text/css" media="all">
<!-- JAVASCRIPTS -->
<script src="/flexslider/jquery.min.js"></script>

<script src="/flexslider/jquery.flexslider.js"></script>
  <style>
  body { background-color:#FDC30A; }
  </style>
</head>
<body id="top">

<!-- ################################################################################################ -->
<!-- ################################################################################################ -->
<!-- ################################################################################################ --><!-- ################################################################################################ -->
<!-- ################################################################################################ -->
<!-- ################################################################################################ -->
<div class="wrapper coloured3">&nbsp;
</div>
<div class="wrapper row1">
  <header id="header" class="hoc clear">
    <div id="logo" class="fl_left"> 
      <!-- ################################################################################################ -->
      <h1>Posters du congrès national de la  SFLS 2025</h1>
      <!-- ################################################################################################ -->
    </div>
    <nav id="mainav" class="fl_right"> 
      <!-- ################################################################################################ -->
      <ul class="clear">

      </ul>
      <!-- ################################################################################################ -->
    </nav>
  </header>
</div>
<div class="wrapper" style="background-color:#FFF">&nbsp;</div>
<div class="wrapper bgded" style="background-image:url('./images/BandeauCongresSFLS2025_v2.png');  background-position: center; background-color: #FCC30A; max-width: 670px;">
  <div id="breadcrumb" style="padding: 100px 0 100px; " class="hoc clear"> 
    <!-- ################################################################################################ -->
    <ul></ul>
    <!-- ################################################################################################ -->
  </div>
</div>


<div class="wrapper row3">
  <main class="hoc container clear"> 
    <div class="sidebar one_quarter first"> 
      <nav class="sdb_holder">
        <h6><a href="./?cat="><strong>REVENIR &Agrave; LA PAGE PR&Eacute;C&Eacute;DENTE</strong></a></h6>
      </nav>
      <div class="sdb_holder masque">
        <h6>Légende</h6>
        <address><img src="orale.png"> : Sera présenté en session orale</address>
      </div>
      <div class="sdb_holder masque">
        <h6>Assistance</h6>
        <address>
        Vous pouvez nous contacter<br>
        <br>
        Yannick DARRATS<br>
        Email: <a href="mailto:yannick@aei.fr">yannick@aei.fr</a><br>
<br>
<br>

        L'impression des posters est proposée par<br>
        <img src="https://congres.sfls.fr/images/Home/Logos/Gilead_v2.png" style="max-width: 120px; ">
        </address>
      </div>
    </div>
    <div class="content three_quarter"> 
      <div class="wrapper coloured2">
        <h6 class="font-x2" style="padding:10px;">Primo-infection VIH-1 : sensibilité des TRODs VIH de 3e/4e générations</h6>
      </div> 
      <div class="wrapper coloured3">
        <p style="padding:10px;"><strong>Poster disponible en téléchargement : </strong>
        <input type="button" value="Télécharger" onclick="window.open ('POSTERS_SFLS/DEP10.pdf');" style=" background-color:#C33; color: #FFF" /></p>
      </div>
        <p><u>Catégorie de l'abstract</u> : D&eacute;pistage et op&eacute;rations hors les murs</p>
        <p><u>Abstract déposé le 11/09/2025 16:31:52 par</u> : Gautheret-Dejean Agnès</p>
        
	  <p style="font-size: smaller"><u>Auteurs</u>: <strong>GUIRAUD Vincent</strong> (<em>Service de Virologie, Hôpitaux Universitaires  Pitié Salpêtrière-Charles Foix, Paris</em>), <strong>BEN ATTIA Sofia</strong> (<em>Service de Virologie, Hôpitaux Universitaires  Pitié Salpêtrière-Charles Foix, Paris</em>), <strong>NAIZET Angèle</strong> (<em>Service de Virologie, Hôpitaux Universitaires  Pitié Salpêtrière-Charles Foix, Paris</em>), <strong>YOUSFI Léna</strong> (<em>Service de Virologie, Hôpitaux Universitaires  Pitié Salpêtrière-Charles Foix, Paris</em>), <strong>HERNANDEZ Pierre</strong> (<em>Service de Virologie, Hôpitaux Universitaires  Pitié Salpêtrière-Charles Foix, Paris</em>), <strong>HAMM Nathalie</strong> (<em>Service de Virologie, Hôpitaux Universitaires  Pitié Salpêtrière-Charles Foix, Paris</em>), <strong>BENHAFOUN Ghizlane</strong> (<em>Service de Virologie, Hôpitaux Universitaires  Pitié Salpêtrière-Charles Foix, Paris</em>), <strong>GAUTHERET-DEJEAN Agnès</strong> (<em>Service de Virologie, Hôpitaux Universitaires  Pitié Salpêtrière-Charles Foix, Paris et Commission médicament/pharmaciens SFLS</em>), </p>
        
      <div class="wrapper coloured">
        <h6 style="padding:10px;">INTRODUCTION / OBJECTIFS</h6>
      </div>
      <p>les tests rapides d’orientation diagnostique (TRODs) VIH permettent un dépistage facile hors des structures de soins, au prix de l’absence de détection de l’antigène p24 du VIH-1 (Agp24), entraînant un résultat peu fiable jusqu’à 3 mois post-infection. Les TRODs VIH de 4e génération (4eG) pallient ce problème, par l’ajout de la détection de l’Agp24, mais leurs performances en primo-infection (PI) restent peu étudiées. Cette étude compare la sensibilité de TRODs VIH de 3eG et 4eG au cours de la PI VIH-1.</p>
      <div class="wrapper coloured">
        <h6 style="padding:10px;">MATÉRIELS ET MÉTHODES</h6>
      </div>
      <p>ONE STEP anti-HIV (1&2) (One-Step, 3eG) (InTec Products), Determine™ Early Detect (Determine, 4eG)(ABBOTT) et AQ+ HIV Ag/Ab Combo (AQ+, 4eG) (InTec) ) ont été testés sur l’ensemble des échantillons sanguins de PI VIH-1 disponibles au laboratoire.<br>Le diagnostic de PI a été déterminé par Western blot New Lav blot I (Bio-Rad)/PCR VIH-1 positive (Cobas 6800, Roche). Un sous-groupe « pré-séroconversion » a été défini par l’absence de signal anticorps (AcVIH) sur le Liaison XL (DiaSorin), technique immuno-enzymatique de 4eG distinguant Agp24 et AcVIH. Les dates supposées de contamination par le VIH-1 sont issues des dossiers médicaux.</p>
      <div class="wrapper coloured">
        <h6 style="padding:10px;">RÉSULTATS</h6>
      </div>
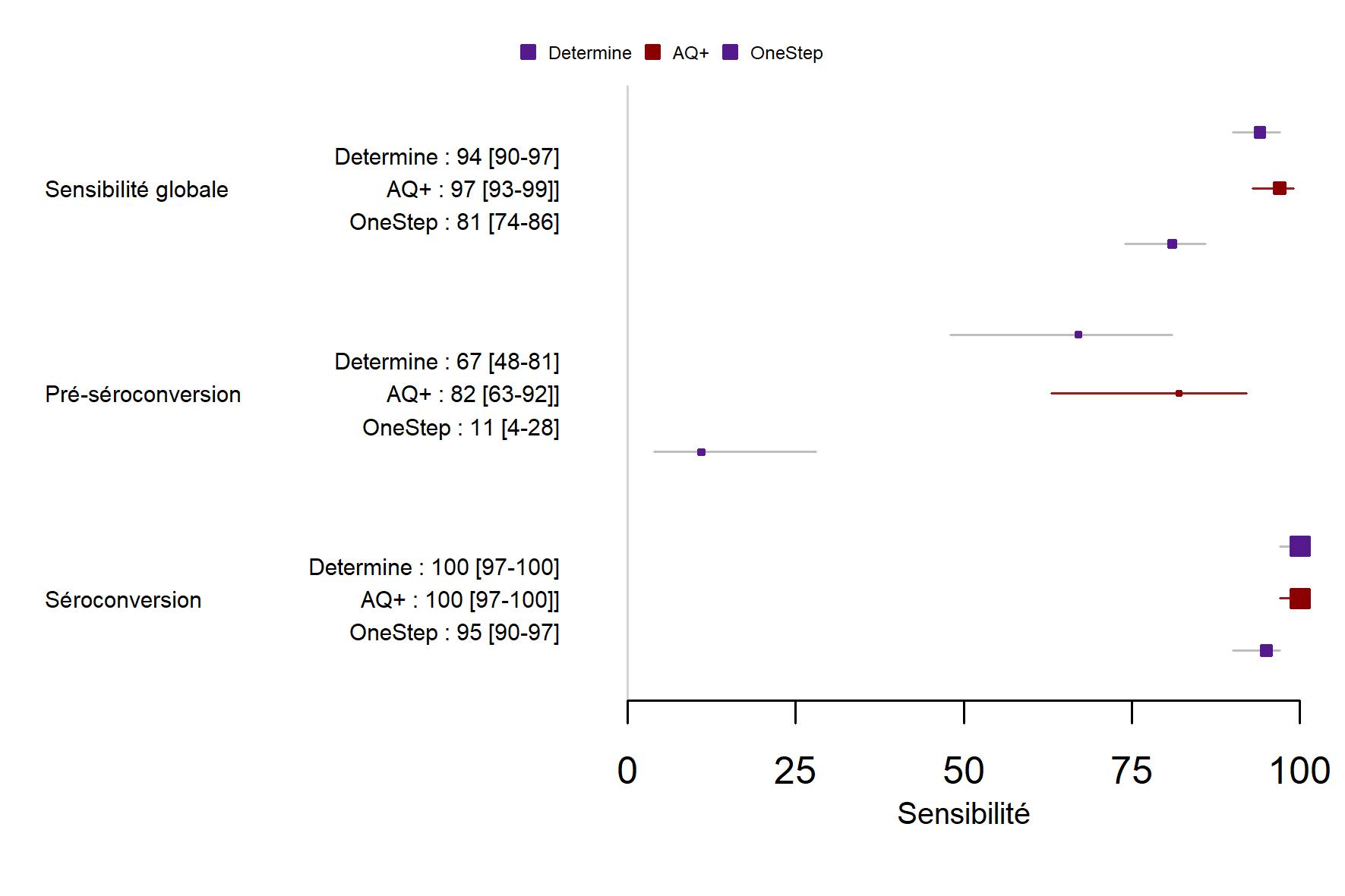
      <p>un total de 162 échantillons a été récolté, dont 27 pré-séroconversion. La sensibilité globale [IC 95%] était de 94% [90-97%] pour Determine, 97% [93-99%] pour AQ+ et 81% [74-86%] pour One-Step (3eG)(p=0,22 Determine vs. AQ+, p=0,057 One-Step vs. AQ+). La sensibilité pré-séroconversion était de 66,7% [47,8-81,3%] et 81,5% [63,3-91,8%] pour Determine et AQ+, respectivement (p=0,22), mais de seulement 11% [4-28%] pour OneStep (p<0,001 pour OneStep vs. Determine ou AQ+).<br>En termes de fenêtre diagnostique (n=39), aucun test n’était réactif jusqu’à 2 semaines post-infection (n=2). De 2 à 3 semaines, la sensibilité était de 73% [43-90%] et 91% [62-98%] pour Determine et AQ+, respectivement, mais de seulement 54% [28-78%] pour OneStep (n=11). Après 3 semaines, si tous les échantillons étaient réactifs pour les deux tests de 4eG (n=26, sensibilité 100% [87-100%]), le dernier échantillon négatif pour OneStep correspondait à un échantillon prélevé 70-90 jours après la probable contamination.</p>
      <div class="wrapper coloured">
        <h6 style="padding:10px;">CONCLUSIONS</h6>
      </div>
      <p>les TRODs VIH détectant l'Agp24 réduisent significativement la fenêtre diagnostique, la faisant passer de 3 à 1 mois. Ils doivent cependant être toujours utilisés avec prudence les 3 premières semaines post-infection.</p>

      <div class="wrapper coloured">
        <h6 style="padding:10px;">ICONOGRAPHIE</h6>
      </div>
      <p>
            <div style=" text-align: center; display: inline-block; margin: 6px; padding: 6px; border:1px solid #CCC; background-color:#EAEAEA;"><a href="../Appel/EC1B/figure-1-sensibilite-selon-le-stade-de-seroconversion.jpeg" target="_blank"><img src="../Appel/EC1B/figure-1-sensibilite-selon-le-stade-de-seroconversion.jpeg" style="height: 120px;" /></a>
              <div class="truncate">figure-1-sensibilite-selon-le-stade-de-seroconversion.jpeg</div></div><div style=" text-align: center; display: inline-block; margin: 6px; padding: 6px; border:1px solid #CCC; background-color:#EAEAEA;"><a href="../Appel/EC1B/figure-2-sensibilite-selon-le-delai-apres-infection.jpeg" target="_blank"><img src="../Appel/EC1B/figure-2-sensibilite-selon-le-delai-apres-infection.jpeg" style="height: 120px;" /></a>
              <div class="truncate">figure-2-sensibilite-selon-le-delai-apres-infection.jpeg</div></div>            <p></p>

    </div>
    <div class="clear"></div>
  </main>
</div>





<div class="wrapper row4">
  <footer id="footer" class="hoc clear"> 
    <!-- ################################################################################################ -->
    <div class="one_quarter first">&nbsp;</div>
    <div class="one_quarter">&nbsp;</div>
    <div class="one_quarter">&nbsp;</div>
    <div class="one_quarter last">
      <h6 class="heading">Réalisation</h6>
      <ul class="nospace linklist">
        <li><a class="imgover" href="http://www.aei.fr" target="_blank"><img src="images/logoAEI_rvrs.png" alt=""></a></li>
        <li><strong>Agence Européenne Informatique</strong><br />52 rue de la Fédération<br />
        75015 Paris</li>
      </ul>
    </div>
    <!-- ################################################################################################ -->
  </footer>
</div>
<!-- ################################################################################################ -->
<!-- ################################################################################################ -->
<!-- ################################################################################################ -->
<div class="wrapper row5">
  <div id="copyright" class="hoc clear"> 
    <!-- ################################################################################################ -->
    <p class="fl_left">Copyright &copy; 2024 - Tous droits réservés- <a href="#">Congrès SFLS / AEI</a></p>
    <!-- ################################################################################################ -->
  </div>
</div>

<!-- ################################################################################################ -->
<!-- ################################################################################################ -->
<!-- ################################################################################################ -->
<a id="backtotop" href="#top"><i class="fas fa-chevron-up"></i></a>

<script src="layout/scripts/jquery.backtotop.js"></script>
<script src="layout/scripts/jquery.mobilemenu.js"></script>
</body>

</html>